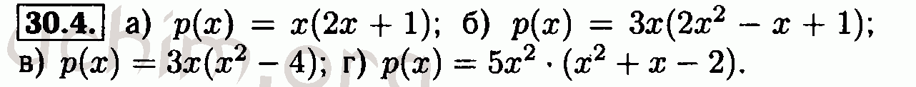
Номер 30.4 - Решебник по алгебре 7 класс Мордкович
Вы открыли задание номер 30.4 из решебника на uchim.org.
Другие номера:
← 28.63 28.64 28.65 29.1 29.2 29.3 29.4 29.5 29.6 29.7 29.8 29.9 29.10 29.11 29.12 29.13 29.14 29.15 29.16 29.17 Вариант №1 Вариант №2 30.1 30.2 30.3 30.4 30.5 30.6 30.7 30.8 30.9 30.10 30.11 30.12 30.13 30.14 30.15 30.16 30.17 30.18 31.1 31.2 31.3 31.4 31.5 31.6 31.7 31.8 31.9 31.10 31.11 →
(кликните по решению, если нужно изменить размер)

Введите номер задания:
Всё для учебы » ГДЗ бесплатно » » Номер 30.4 - Решебник по алгебре 7 класс Мордкович