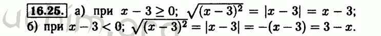
Номер 16.25 - Решебник по алгебре 8 класс Мордкович
Вы открыли задание номер 16.25 из решебника на uchim.org.
Другие номера:
← 15.106 16.1 16.2 16.3 16.4 16.5 16.6 16.7 16.8 16.9 16.10 16.11 16.12 16.13 16.14 16.15 16.16 16.17 16.18 16.19 16.20 16.21 16.22 16.23 16.24 16.25 16.26 16.27 16.28 16.29 16.30 16.31 16.32 16.33 16.34 16.35 16.36 16.37 16.38 16.39 16.40 16.41 16.42 16.43 16.44 д.к.2-в 1 д.к.2-в 2 17.1 17.2 17.3 17.4 →
(кликните по решению, если нужно изменить размер)

Открыть номер 16.25 с телефона
Введите номер задания:
Всё для учебы » ГДЗ бесплатно » » Номер 16.25 - Решебник по алгебре 8 класс Мордкович