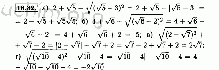
Номер 16.32 - Решебник по алгебре 8 класс Мордкович
Вы открыли задание номер 16.32 из решебника на uchim.org.
Другие номера:
← 16.7 16.8 16.9 16.10 16.11 16.12 16.13 16.14 16.15 16.16 16.17 16.18 16.19 16.20 16.21 16.22 16.23 16.24 16.25 16.26 16.27 16.28 16.29 16.30 16.31 16.32 16.33 16.34 16.35 16.36 16.37 16.38 16.39 16.40 16.41 16.42 16.43 16.44 д.к.2-в 1 д.к.2-в 2 17.1 17.2 17.3 17.4 17.5 17.6 17.7 17.8 17.9 17.10 17.11 →
(кликните по решению, если нужно изменить размер)

Открыть номер 16.32 с телефона
Введите номер задания:
Всё для учебы » ГДЗ бесплатно » » Номер 16.32 - Решебник по алгебре 8 класс Мордкович